2/2/24
You need the devtools package
Then you can install MetabarSchool
You will also need the vegan package
A 16 plants mock community
| species | taxid | Relative aboundance | |
|---|---|---|---|
| 1 | Taxus baccata | 25629 | 1/2 |
| 2 | Salvia pratensis | 49216 | 1/4 |
| 3 | Populus tremula | 113636 | 1/8 |
| 4 | Rumex acetosa | 41241 | 1/16 |
| 5 | Carpinus betulus | 12990 | 1/32 |
| 6 | Fraxinus excelsior | 38873 | 1/64 |
| 7 | Picea abies | 3329 | 1/128 |
| 8 | Lonicera xylosteum | 439142 | 1/256 |
| 9 | Abies alba | 45372 | 1/512 |
| 10 | Acer campestre | 66205 | 1/1024 |
| 11 | Briza media | 281077 | 1/2048 |
| 12 | Rosa canina | 74635 | 1/4096 |
| 13 | Capsella bursa-pastoris | 3719 | 1/8192 |
| 14 | Geranium robertianum | 122183 | 1/16384 |
| 15 | Rhododendron ferrugineum | 49622 | 1/32768 |
| 16 | Lotus corniculatus | 47247 | 1/65536 |
192 PCR of the mock community using SPER02 trnL-P6-Loop primers
6 dilutions of the mock community: 1/1, 1/2, 1/4, 1/8, 1/16, 1/32
32 repeats per dilution
positive.count read count matrix \(192 \; PCRs \; \times \; 24330 \; MOTUs\)| P000001 | P000002 | P000003 | P000004 | P000005 | |
|---|---|---|---|---|---|
| sample.TM_POS_d16_1_a_A1 | 1167 | 4477 | 779 | 0 | 12 |
| sample.TM_POS_d16_1_a_B1 | 1072 | 5077 | 985 | 2 | 8 |
| sample.TM_POS_d16_1_b_A2 | 919 | 3599 | 601 | 0 | 10 |
| sample.TM_POS_d16_1_b_B2 | 704 | 4129 | 835 | 2 | 15 |
| sample.TM_POS_d16_2_a_A1 | 1155 | 5341 | 1023 | 2 | 6 |
positive.samples a 192 rows data.frame of 2 columns describing each PCR| dilution | repeats | |
|---|---|---|
| sample.TM_POS_d16_1_a_A1 | 2 | 1.a.A1 |
| sample.TM_POS_d16_1_a_B1 | 2 | 1.a.B1 |
| sample.TM_POS_d16_1_b_A2 | 2 | 1.b.A2 |
positive.motus : a 24330 rows data.frame of 4 columns describing each MOTU| dilution | species | taxid | true | |
|---|---|---|---|---|
| P000001 | 0.250 | Salvia pratensis | 49216 | TRUE |
| P000002 | 0.125 | Populus tremula | 113636 | TRUE |
| P000003 | 0.500 | Taxus baccata | 25629 | TRUE |
Singleton sequences are observed only once over the complete dataset.
| FALSE | TRUE |
|---|---|
| 5579 | 18751 |
We discard them they are unanimously considered as rubbish.
positive.count is now a \(192 \; PCRs \; \times \; 5579 \; MOTUs\) matrixDespite all standardization efforts
Is it related to the amount of DNA in the extract ?
Two options:
Randomly subsample the same number of reads for all the PCRs
Divide the read count of each MOTU in each sample by the total total read count of the same sample
\[ \text{Relative fequency}(Motu_i,Sample_j) = \frac{\text{Read count}(Motu_i,Sample_j)}{\sum_{k=1}^n\text{Read count}(Motu_k,Sample_j)} \]
Identifying the MOTUs with reads count greater than \(0\) after rarefaction.
P000001 P000002 P000003 P000004 P000005
TRUE TRUE TRUE TRUE TRUE
The MOTUs removed by rarefaction were at most occurring 20 times
The MOTUs kept by rarefaction were at least occurring 2 times
Increasing the number of reads just increase the description of the subpart of the PCR you have sequenced.
No sequences will be set to zero
Whittaker (2010)
\(\alpha\text{-diversity}\) : Mean diversity per site (\(species/site\))
\(\gamma\text{-diversity}\) : Regional biodiversity (\(species/region\))
\(\beta\text{-diversity}\) : \(\beta = \frac{\gamma}{\alpha}\) (\(sites/region\))
| A | B | C | D | E | F | G | |
|---|---|---|---|---|---|---|---|
| Environment.1 | 0.25 | 0.25 | 0.25 | 0.25 | 0.00 | 0.00 | 0.00 |
| Environment.2 | 0.55 | 0.07 | 0.02 | 0.17 | 0.07 | 0.07 | 0.03 |
The actual number of species present in your environement whatever their aboundances
| S | |
|---|---|
| Environment.1 | 4 |
| Environment.2 | 7 |
The Simpson’s index is the probability of having the same species twice when you randomly select two specimens.
\[
\lambda =\sum _{i=1}^{S}p_{i}^{2}
\]
\(\lambda\) decrease when complexity of your ecosystem increase.
Gini-Simpson’s index defined as \(1-\lambda\) increase with diversity
| Gini.Simpson | |
|---|---|
| Environment.1 | 0.7500 |
| Environment.2 | 0.6526 |
Shannon entropy is based on information theory:
if \(A\) is a community where every species are equally represented then \[ H(A) = \log|A| \]
| Shannon.index | |
|---|---|
| Environment.1 | 1.386294 |
| Environment.2 | 1.371925 |
As : \[
H(A) = \log|A| \;\Rightarrow\; ^1D = e^{H(A)}
\]
where \(^1D\) is the theoretical number of species in a evenly distributed community that would have the same Shannon’s entropy than ours.
| Hill.Numbers | |
|---|---|
| Environment.1 | 4.000000 |
| Environment.2 | 3.942933 |
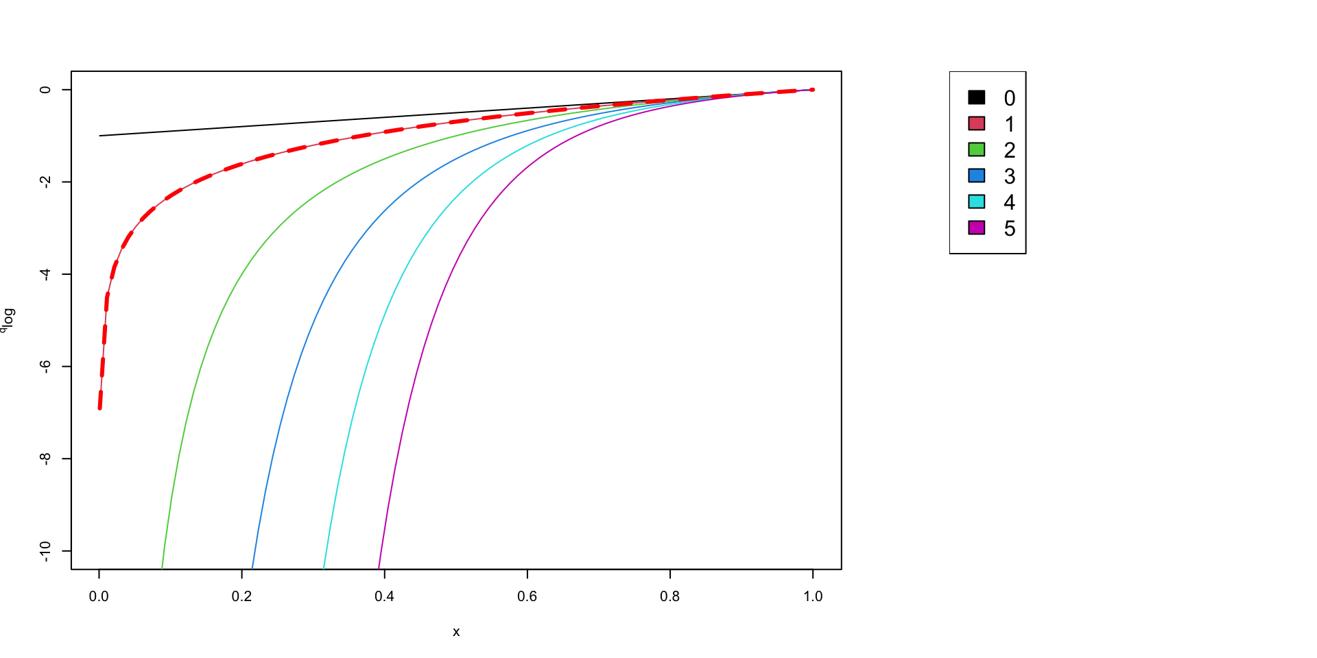
Based on the generalized entropy Tsallis (1994) we can propose a generalized form of logarithm.
\[ ^q\log(x) = \frac{x^{(1-q)}-1}{1-q} \]
The function is not defined for \(q=1\) but when \(q \longrightarrow 1\;,\; ^q\log(x) \longrightarrow \log(x)\)
\[ ^q\log(x) = \left\{ \begin{align} \log(x),& \text{if } q = 1\\ \frac{x^{(1-q)}-1}{1-q},& \text{otherwise} \end{align} \right. \]
log_q function\[ ^qe^x = \left\{ \begin{align} e^x,& \text{if } x = 1 \\ (1 + x(1-q))^{(\frac{1}{1-q})},& \text{otherwise} \end{align} \right. \]
\[ ^qH = - \sum_{i=1}^S p_i \; ^q\log p_i \]
and generalized the previously presented Hill’s number
\[ ^qD=^qe^{^qH} \]
\(^0H(X) = S - 1\) : the richness minus one.
\(^1H(X) = H^{\prime}\) : the Shannon’s entropy.
\(^2H(X) = 1 - \lambda\) : Gini-Simpson’s index.
\(^0D(X) = S\) : The richness.
\(^1D(X) = e^{H^{\prime}}\) : The number of species in an even community having the same \(H^{\prime}\).
\(^2D(X) = 1 / \lambda\) : The number of species in an even community having the same Gini-Simpson’s index.
\(q\) can be considered as a penality you give to rare species
when \(q=0\) all the species have the same weight
We realize a basic cleaning:
obicleanobigrep -p 'count > 1' \
positifs.uniq.annotated.fasta \
> positifs.uniq.annotated.no.singleton.fasta
obigrep -l 10 -L 150 \
positifs.uniq.annotated.no.singleton.fasta \
> positifs.uniq.annotated.good.length.fasta
obiclean -s merged_sample -H -C -r 0.1 \
positifs.uniq.annotated.good.length.fasta \
> positifs.uniq.annotated.clean.fasta\[ \begin{align} d(A,B) \geqslant& 0 \\ d(A,B) =& d(B,A) \\ d(A,B) =& 0 \iff A = B \\ \end{align} \]
Relying on contengency table (quantitative data)
\[ {\displaystyle BC(A,B)=1-{\frac {2\sum _{i=1}^{p}min(N_{Ai},N_{Bi})}{\sum _{i=1}^{p}(N_{Ai}+N_{Bi})}}}, \; \text{with }p\text{ the total number of species} \]
Relying on presence absence data
\[ J(A,B) = {{|A \cap B|}\over{|A \cup B|}} = {{|A \cap B|}\over{|A| + |B| - |A \cap B|}}. \]
A metric is a dissimilarity index verifying the subadditivity also named triangle inequality
\[ \begin{align} d(A,B) \geqslant& 0 \\ d(A,B) =& \;d(B,A) \\ d(A,B) =& \;0 \iff A = B \\ d(A,B) \leqslant& \;d(A,C) + d(C,B) \end{align} \]
\[ \begin{align} d_e =& \sqrt{(x_A - x_B)^2 + (y_A - y_B)^2} \\ d_m =& |x_A - x_B| + |y_A - y_B| \\ d_c =& \max(|x_A - x_B| , |y_A - y_B|) \\ \end{align} \]
Considering 2 points \(A\) and \(B\) defined by \(n\) variables
\[ \begin{align} A :& (a_1,a_2,a_3,...,a_n) \\ B :& (b_1,b_2,b_3,...,b_n) \end{align} \]
with \(a_i\) and \(b_i\) being respectively the value of the \(i^{th}\) variable for \(A\) and \(B\).
\[ \begin{align} d_e =& \sqrt{\sum_{i=1}^{n}(a_i - b_i)^2 } \\ d_m =& \sum_{i=1}^{n}\left| a_i - b_i \right| \\ d_c =& \max\limits_{1\leqslant i \leqslant n}\left|a_i - b_i\right| \\ \end{align} \]
You can generalize those distances as a norm of order \(k\)
\[ d^k = \sqrt[k]{\sum_{i=1}^n|a_i - b_i|^k} \]
\[ d(x,z)\leqslant d(x,y)+d(y,z) \]
\[ d(x,z)\leq \max(d(x,y),d(y,z)) \]
We analyzed two forest sites in French Guiana
Mana : Soil is composed of white sands.
Petit Plateau : Terra firme (firm land). In the Amazon, it corresponds to the area of the forest that is not flooded during high water periods. The terra firme is characterized by old and poor soils.
At each site, twice sixteen samples where collected over an hectar
Sixteen samples of soil. Each of them is constituted by a mix of five cores of 50g from the 10 first centimeters of soil covering half square meter.
Sixteen samples of litter. Each of them is constituted by the total litter collecter over the same half square meter where soil was sampled
guiana.samples.clean = cbind(guiana.samples.clean,s[rownames(guiana.samples.clean),])
guiana.count.mean = aggregate(decostand(guiana.count.clean,method = "total"),
by = list(guiana.samples.clean$sample),
FUN=mean)
n = guiana.count.mean[,1]
guiana.count.mean = guiana.count.mean[,-1]
rownames(guiana.count.mean)=as.character(n)
guiana.count.mean = as.matrix(guiana.count.mean)
dim(guiana.count.mean)[1] 84 7884
guiana.samples.mean = aggregate(guiana.samples.clean,
by = list(guiana.samples.clean$sample),
FUN=function(i) i[1])
n = guiana.samples.mean[,1]
guiana.samples.mean = guiana.samples.mean[,-1]
rownames(guiana.samples.mean)=as.character(n)
dim(guiana.samples.mean)[1] 84 17
guiana.hellinger.final = decostand(guiana.count.final,method = "hellinger")
guiana.relfreq.final = decostand(guiana.count.final,method = "total")
guiana.presence.1.final = guiana.relfreq.final > 0.001
guiana.presence.10.final = guiana.relfreq.final > 0.01
guiana.presence.50.final = guiana.relfreq.final > 0.05
guiana.bc.dist = vegdist(guiana.relfreq.final,method = "bray")
guiana.euc.dist = vegdist(guiana.hellinger.final,method = "euclidean")
guiana.jac.1.dist = vegdist(guiana.presence.1.final,method = "jaccard")
guiana.jac.10.dist = vegdist(guiana.presence.10.final,method = "jaccard")
guiana.jac.50.dist = vegdist(guiana.presence.50.final,method = "jaccard")
\[ BC_{jk}=1-{\frac {2\sum _{i=1}^{p}min(N_{ij},N_{ik})}{\sum _{i=1}^{p}(N_{ij}+N_{ik})}} \]
\[ BC_{jk}=\frac{\sum _{i=1}^{p}(N_{ij}+N_{ik})-\sum _{i=1}^{p}2\;min(N_{ij},N_{ik})}{\sum _{i=1}^{p}(N_{ij}+N_{ik})} \]
\[ BC_{jk}=\frac{\sum _{i=1}^{p}(N_{ij} - min(N_{ij},N_{ik}) + (N_{ik} - min(N_{ij},N_{ik}))}{\sum _{i=1}^{p}(N_{ij}+N_{ik})} \]
\[ BC_{jk}=\frac{\sum _{i=1}^{p}|N_{ij} - N_{ik}|}{\sum _{i=1}^{p}N_{ij}+\sum _{i=1}^{p}N_{ik}} \]
\[ BC_{jk}=\frac{\sum _{i=1}^{p}|N_{ij} - N_{ik}|}{1+1} \]
\[ BC_{jk}=\frac{1}{2}\sum _{i=1}^{p}|N_{ij} - N_{ik}| \]
guiana.bc.pcoa = cmdscale(guiana.bc.dist,k=3,eig = TRUE)
guiana.euc.pcoa = cmdscale(guiana.euc.dist,k=3,eig = TRUE)
guiana.jac.1.pcoa = cmdscale(guiana.jac.1.dist,k=3,eig = TRUE)
guiana.jac.10.pcoa = cmdscale(guiana.jac.10.dist,k=3,eig = TRUE)
guiana.jac.50.pcoa = cmdscale(guiana.jac.50.dist,k=3,eig = TRUE)